Outcomes of device-aided only vs. device-aided and surgical treatment of skeletal distal occlusion in adults
- Authors: Fadeev R.A.1, Lanina A.N.1, Pirskii N.D.2
-
Affiliations:
- North-Western State Medical University named after I.I. Mechnikov
- Medical center “Romanovsky”
- Issue: Vol 2, No 4 (2024)
- Pages: 205-212
- Section: Scientific research
- Submitted: 19.12.2024
- Accepted: 21.12.2024
- Published: 15.12.2024
- URL: https://stomuniver.ru/unistom/article/view/643226
- DOI: https://doi.org/10.17816/uds643226
- ID: 643226
Cite item
Full Text
Abstract
BACKGROUND: The device-aided and surgical approach is the preferred option for the treatment of skeletal distal occlusion in adults. Despite its advantages, this approach necessitates major surgery, which is associated with intraoperative and postoperative complications. Patients in need of orthodontic treatment are increasingly interested in treatment options that require minimum surgical intervention.
AIM: To assess the outcomes of skeletal distal occlusion treatment in adults using the proposed method vs. the device-aided and surgical approach.
MATERIALS AND METHODS: The study included 104 patients. The treatment group included 44 patients who were treated using the proposed method. The mean age was 32 ± 7.4 years. The control group included 60 patients who were treated using the conventional device-aided and surgical approach. The mean age was 34 ± 5.8 years.
RESULTS: The efficacy of the proposed method vs. the device-aided and surgical approach in the treatment of skeletal distal occlusion in adults was assessed using teleradiography scans. When using a modified Herbst appliance, the mean improvement in ss-n-spm and Wits was 2.06 ± 0.77° and 5.35 ± 1.56 mm, respectively. When using the device-aided and surgical approach, the mean improvement in these parameters was 3.55 ± 0.68° and 6.16 ± 2.10 mm, respectively. An improvement in the mandibular apical base position was 6.32 ± 2.02° and 8.11 ± 2.61° for the modified Herbst appliance and the device-aided and surgical approach, respectively. An improvement in the mental region position was 2.62 ± 2.15° and 6.72 ± 2.51° for the modified Herbst appliance and the device-aided and surgical approach, respectively.
CONCLUSIONS: Using a modified Herbst appliance as an alternative to reconstructive surgery improves occlusion and mandible position in adults without the need for major surgery.
Full Text
ВВЕДЕНИЕ
По данным отечественной и зарубежной литературы, распространенность скелетных форм дистального соотношения зубных рядов (нижняя микро- и ретрогнатия, МКБ-10: К07.04, К07.13) составляет до 36 % [1–4]. Данное состояние характеризуется следующими цефалометрическими показателями: облигатные — значение me-go (величина основания нижней челюсти) и s-n-spm (положение нижней челюсти) меньше нормы; факультативные — уменьшение угла s-n-pg (положение подбородочного отдела), увеличение угла ss-n-spm (межчелюстной угол), увеличение Wits-параметра.
Эти признаки влияют на функцию височно-нижнечелюстного сустава и мыщц, приводящих в движение нижнюю челюсть, вызывая симптомы дисфункции височно-нижнечелюстного сустава, а также формируют дистальный прикус. Помимо этого, они влияют и на эстетику лица, формируя выпуклый профиль, западение нижней губы, выраженность носогубных и подбородочной складок. Данные проявления скелетных несоответствий вызывают психоэмоциальный дискомфорт у пациентов, что побуждает их обращаться за ортодонтической помощью.
Вариантом выбора при коррекции скелетных форм дистального соотношения зубных рядов у взрослых пациентов является аппаратурно-хирургический способ — ортодонтическое лечение в сочетании с реконструктивной операцией. Такой подход способствует патогенетической коррекции имеющихся нарушений за счет хирургического перемещения нижней челюсти и увеличения ее размеров. Несмотря на эти преимущества, данный способ сопровождается рядом интра- и послеоперационных осложнений, среди них травматизация мягких тканей лицевого отдела черепа, потеря чувствительности третьей ветви тройничного нерва, появление симптомов дисфункции височно-нижнечелюстного сустава в раннем послеоперационном периоде в виду неспособности, поднимающих нижнюю челюсть медиальных крыловидных, жевательных и височных мышц адаптироваться к одномоментному изменению положения нижней челюсти. Кроме того, по данным литературы, до 31 % реконструктивных операций приводят к морфологическому изменению формы и объема суставной головки (так называемая кондилярная резорбция), а скелетная форма дистального соотношения зубных рядов представляет собой фактор риска развития подобного осложнения [5–8]. Известны инструментальные методы позиционирования суставной головки нижней челюсти с использованием вспомогательных наружных устройств (индивидуально изготовленных фиксирующих пластин и шаблонов для остеосинтеза, интраоперационного рентгенологического исследования), однако в настоящее время эмпирическое интраоперационное двухвекторное позиционирование головок нижней челюсти (bivector seating) является вариантом выбора [9]. Этот подход ставит под вопрос стабильность результата лечения и целесообразность его применения, поскольку опирается главным образом на опыт хирурга [10].
Таким образом, актуальным остается вопрос применения аппаратурного способа лечения скелетных форм дистального соотношения зубных рядов у взрослых пациентов, который, с одной стороны, лишен недостатков аппаратурно-хирургического способа, а с другой — позволяет достичь коррекции несоответствия челюстей на сопоставимом уровне. На наш взгляд, использование модифицированного аппарата Гербста (патент РФ № 207160 от 14.10.2021 «Несъемный двухчелюстной штанговый аппарат») и тактики его применения (патент РФ № 2794990 от 27.04.2023 «Способ дистального перемещения моляров на верхней челюсти»; № 2797432 от 05.06.2023 «Способ стабилизации вторых нижних моляров при использовании аппарата Гербста»; № 2827675 от 01.10.2024 «Способ изменения наклона окклюзионной плоскости у пациентов с дистальным соотношением зубных рядов) позволяет достигнуть поставленной задачи.
Цель исследования — сравнить результаты лечения скелетных форм дистального соотношения зубных рядов у взрослых пациентов с использованием модифицированного аппарата Гербста и аппаратурно-хирургическим способом.
МАТЕРИАЛЫ И МЕТОДЫ
В исследовании приняли участие 104 пациента (50 мужчин и 54 женщины).
Основную группу (группа 1) составили 44 человека (из них 23 (52,27 %) женщины и 21 (47,73 %) мужчина), которым проводилось лечение предложенным способом. Средний возраст обследованных — 32 ± 7,4 года.
Группа контроля (группа 2), получавшая традиционное аппаратурно-хирургическое лечение, состояла из 60 человек (из них 31 (51,67 %) женщина и 29 (48,33 %) мужчин). Средний возраст обследованных составил 34 ± 5,8 года (рис. 1).
Рис. 1. Контингент исследования (пояснения в тексте)
Fig. 1. Study subjects (explanations are provided in the text)
Статистический анализ данных профильных телерентгенограмм выполнен при помощи программ R4.3.0 (R Foundation for Statistical Computing) и StatTech v. 4.1.2 (ООО «Статтех», Россия); графики построены с помощью GraphPad Prism9 (GraphPad Software, Inc., США). Для статистических сравнений применены параметрические и непараметрические критерии.
Таблица 1. Критерии включения и исключения пациентов в исследование Table 1. Inclusion and exclusion criteria | |
Критерии включения | Критерии исключения |
Завершенный рост лицевого отдела черепа | Пациенты, отказавшиеся от диагностических мероприятий или от предложенного плана лечения |
Нижняя ретро- и микрогнатия (МКБ-10: К07.04, К07.13):
| |
Дистальное соотношение зубных рядов (МКБ-10: К07.20), вызванное аномалиями величины и/или положения нижней челюсти в черепе:
| |
Таблица 2. Клинические и параклинические методы исследования Table 2. Clinical and paraclinical study methods | |
Клинические методы | Параклинические методы |
Сбор анамнеза заболевания | Анализ диагностических моделей челюстей |
Осмотр лица и зубных рядов | Анализ компьютерных томограмм челюстей (панорамный рентгеновский аппарат «Dentsply Sirona ORTHOPHOS XG», Dentsply Sirona, США) |
– | Анализ профильных телерентгенограмм (программа «Allegro») |
РЕЗУЛЬТАТЫ
Произведен анализ параметров, характеризующих соотношение верхней и нижней челюстей в сагиттальном направлении (табл. 3).
Таблица 3. Анализ параметров, характеризующих соотношение верхней и нижней челюстей в сагиттальном направлении Table 3. Analysis of occlusion parameters in the sagittal plane | |||||||
Показатель | Статистические оценки с 95 % ДИ | p (до/после) | |||||
Модифицированный аппарат Гербста (группа 1) | Аппаратурно-хирургический способ (группа 2) | группа 1 | группа 2 | группа 1/2 после | |||
До лечения | После лечения | До лечения | После лечения | ||||
ss-n-spm, ° | 5,96 6,04 6,38 | 3,77 4,06 4,22 | 6,24 7,32 8,28 | 3,24 3,55 3,88 | p ≤ 0,05* | p ≤ 0,05* | p ≤ 0,05* |
Wits-параметр, мм | 7,14 7,43 7,72 | 1,83 2,35 3,27 | 7,21 7,83 8,23 | 1,06 1,97 2,73 | p ≤ 0,05* | p ≤ 0,05* | p = 0,268 |
Примечание: *статистически значимые различия; ДИ — доверительный интервал. Note: *statistically significant differences; DI — confidence interval. | |||||||
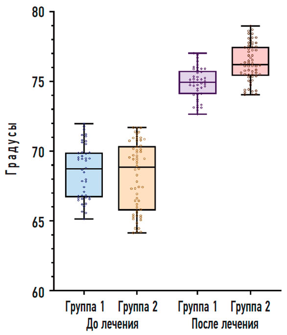
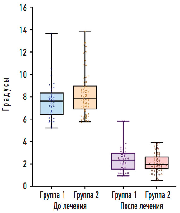
В группе 1 значение показателя ss-n-spm составило до лечения 6,04 ± 3,98°, после лечения 4,06 ± 1,07°; значение Wits-параметра до лечения 7,43 ± 2,82 мм, после 2,35 ± 1,21 мм. В результате лечения значение параметра ss-n-spm улучшилось в среднем на 2,06 ± 0,77°, а Wits-параметра на 5,35 ± 1,56 мм. В группе 2 значение показателя ss-n-spm составило до лечения 7,32 ± 3,59°, после лечения 3,55 ± 1,09°, значение Wits-параметра 7,83 ± 2,96 мм до лечения, после 1,97 ± 0,84 мм. Улучшение параметров составило в среднем 3,55 ± 0,68° и 6,16 ± 2,10 мм соответственно. Эффективность применения модифицированного аппарата Гербста не уступает аппаратурно-хирургическому лечению в коррекции аномалии на скелетном уровне. На рисунках 2 и 3 представлены средние значения в группах.
Рис. 2. Значение параметра ss-n-spm у исследуемых групп. Показаны медианы (горизонтальная линия) с межквартильным размахом, а также минимальные и максимальные значения («усы»)
Fig. 2. Study groups: ss-n-spm Medians (horizontal line) with interquartile range, as well as the minimum and maximum (whiskers), are presented
Рис. 3. Значение Wits-параметра у исследуемых групп. Показаны медианы (горизонтальная линия) с межквартильным размахом, а также минимальные и максимальные значения («усы»)
Fig. 3. Study groups: Wits Medians (horizontal line) with interquartile range, as well as the minimum and maximum (whiskers), are presented
Проведен анализ положения переднего отдела апикального базиса нижней челюсти (табл. 4).
Таблица 4. Анализ положения переднего отдела апикального базиса нижней челюсти Table 4. Analysis of the position of the anterior part of the mandibular apical base | |||||||
Показатель | Статистические оценки с 95 % ДИ | p (до/после) | |||||
Модифицированный аппарат Гербста (группа 1) | Аппаратурно-хирургический способ (группа 2) | группа 1 | группа 2 | группа 1/2 после | |||
До лечения | После лечения | До лечения | После лечения | ||||
s-n-spm, ° | 67,72 68,73 69,26 | 73,51 74,93 75,71 | 67,79 68,84 70,58 | 75,51 76,31 77,45 | p ≤ 0,05* | p ≤ 0,05* | p ≤ 0,05* |
Примечание: *статистически значимые различия; ДИ — доверительный интервал. Note: *statistically significant differences; DI — confidence interval. | |||||||
Анализ положения переднего отдела апикального базиса нижней челюсти в группе 1 выявил значение 68,73 ± 4,96° до и 74,93 ± 1,11° после лечения, улучшение положения нижней челюсти составило 6,32 ± 2,02°. В группе 2 значение параметра до лечения 68,84 ± 2,44° и 76,31 ± 1,35°. Показатель улучшился в среднем на 8,11 ± 2,61°. Эффективность применения модифицированного аппарата Гербста не уступает аппаратурно-хирургическому лечению в коррекции положения апикального базиса нижней челюсти. На рисунке 4 представлены средние значения в группах.
Рис. 4. Значение параметра ss-n-spm у исследуемых групп. Показаны медианы (горизонтальная линия) с межквартильным размахом, а также минимальные и максимальные значения («усы»)
Fig. 4. Study groups: ss-n-spm Medians (horizontal line) with interquartile range, as well as the minimum and maximum (whiskers), are presented
В таблице 5 представлен анализ положения подбородочного отдела лица и профиля мягких тканей у исследуемых групп.
Таблица 5. Анализ положения подбородочного отдела лица у исследуемых групп Table 5. Analysis of the mental region position in the study groups | |||||||
Показатель | Статистические оценки с 95 % ДИ | p (до/после) | |||||
Модифицированный аппарат Гербста (группа 1) | Аппаратурно-хирургический способ (группа 2) | группа 1 | группа 2 | группа 1/2 после | |||
До лечения | После лечения | До лечения | После лечения | ||||
s-n-pg, ° | 67,56 68,12 68,97 | 70,19 70,74 71,29 | 65,63 66,69 67,75 | 72,56 73,41 74,18 | p ≤ 0,05* | p ≤ 0,05* | p ≤ 0,05* |
Примечание: *статистически значимые различия; ДИ — доверительный интервал. Note: *statistically significant differences; DI — confidence interval. | |||||||
При анализе параметра s-n-pg в группе 1 значения до и после лечения составили 68,12 ± 2,34°и 70,84 ± 2,07° соответственно. При анализе этого параметра в группе 2 значения до и после лечения составили 66,69 ± 2,73° и 73,41 ± 2,38° соответственно.
Исходя из полученных данных, можно сделать вывод, что улучшение положения подбородочного отдела лица наиболее выражено при использовании аппаратурно-хирургического способа за счет хирургической коррекции положения нижней челюсти, а также гениопластики. Модифицированный аппарат Гербста способствует улучшению положения подбородка за счет смещения нижней челюсти кпереди, однако в данном случае уступает аппаратурно-хирургическому способу в эффективности. На рисунке 5 представлено распределение параметра в исследуемых группах.
Рис. 5. Значение параметра s-n-pg у исследуемых групп. Показаны медианы (горизонтальная линия) с межквартильным размахом, а также минимальные и максимальные значения («усы»)
Fig. 5. Study groups: s-n-pg Medians (horizontal line) with interquartile range, as well as the minimum and maximum (whiskers), are presented
ВЫВОДЫ
При использовании модифицированного аппарата Гербста отмечено улучшение углового показателя ss-n-spm в среднем на 2,06 ± 0,77°, Wits-параметра на 5,35 ± 1,56 мм, при аппаратурно-хирургическом лечении на 3,55 ± 0,68° и 6,16 ± 2,10 мм соответственно; улучшение показателя s-n-spm на 6,32 ± 2,02° и на 8,11 ± 2,61° соответственно. При выборе аппаратурно-хирургического способа возможно достичь лучших показателей положения подбородочного отдела как за счет перемещения нижней челюсти, так и за счет скользящей гениопластики. Использование модифицированного аппарата Гербста улучшает положение подбородочного отдела за счет перемещения нижней челюсти вперед. Таким образом, применение модифицированного аппарата Гербста в качестве альтернативы реконструктивной хирургии позволяет нормализовать соотношение зубных рядов и улучшить положение нижней челюсти у взрослых пациентов, не прибегая к обширному хирургическому вмешательству.
ДОПОЛНИТЕЛЬНАЯ ИНФОРМАЦИЯ
Вклад авторов. Все авторы внесли существенный вклад в проведение исследования и подготовку статьи, прочли и одобрили финальную версию перед публикацией. Вклад каждого автора: Н.Д. Пирский — сбор и обработка материалов, написание текста; Р.А. Фадеев — концепция и дизайн исследования; А.Н. Ланина — консультация при проведении исследования.
Источник финансирования. Авторы заявляют об отсутствии внешнего финансирования при написании статьи.
Конфликт интересов. Авторы декларируют отсутствие явных и потенциальных конфликтов интересов, связанных с публикацией настоящей статьи.
ADDITIONAL INFO
Author contribution. Thereby, all authors confirm that their authorship complies with the international ICMJE criteria (all authors have made a significant contribution to the development of the concept, research, and preparation of the article, as well as read and approved the final version before its publication). Personal contribution of the authors: N.D. Pirskii — collecting and preparation of samples, writing the text; R.A. Fadeev — experimental design; A.N. Lanina — consulting during research.
Funding source. The authors claim that there is no external funding when writing the article.
Competing interests. The authors declare the absence of obvious and potential conflicts of interest related to the publication of this article.
About the authors
Roman A. Fadeev
North-Western State Medical University named after I.I. Mechnikov
Author for correspondence.
Email: sobol.rf@yandex.ru
ORCID iD: 0000-0003-3467-4479
SPIN-code: 4556-5177
MD, Dr. Sci. (Med.), professor
Russian Federation, 191015, Saint Petersburg, Kirochnaya st., 41Anastasiia N. Lanina
North-Western State Medical University named after I.I. Mechnikov
Email: sadis57@mail.ru
ORCID iD: 0000-0002-4501-2166
SPIN-code: 4585-8331
MD, Cand. Sci. (Medicine)
Russian Federation, 191015, Saint Petersburg, Kirochnaya st., 41Nikita D. Pirskii
Medical center “Romanovsky”
Email: nikita1996pirskii@gmail.com
ORCID iD: 0009-0008-1853-9510
SPIN-code: 5157-9593
orthodontist
Russian Federation, Saint PetersburgReferences
- Alhammadi MS, Halboub E, Fayed MS, et al. Global distribution of malocclusion traits: a systematic review. Dent Press J Orthod. 2018;23(6): e1–e40.e10. doi: 10.1590/2177-6709.23.6.40.e1-10.onl
- Brunelle JA, Bhat M, Lipton JA. Prevalence and distribution of selected occlusal characteristics in the US population, 1988–1991. J Dent Res. 1996;75(2):706–713. doi: 10.1177/002203459607502S10
- Proffit WR, Fields HW, Sarver DM. Contemporary orthodontics. 6th ed. Philadelphia: Elsevier; 2019. 746 p.
- Trezubov VN, Shcherbakov AS, Fadeev RA. Orthodontics. Medical book. N. Novgorod: NGMA; 2001. 148 p. (In Russ.)
- Cutbirth M, Van Sickels J, Thrash W. Condylar resorption after bicortical screw fixation of mandibular advancement. J Oral Maxillofac Surg. 1998;56(2):178–182. doi: 10.1016/s0278-2391(98)90863-1
- Wolford L, Reiche-Fischel O, Mehra P. Changes in temporomandibular joint dysfunction after orthognathic surgery. J Oral Maxillofac Surg. 2003;61(6):655–660. doi: 10.1053/joms.2003.50131
- Hoppenreijs T, Freihofer H, Stoelinga P, et al. Condylar remodelling and resorption after Le Fort I and bimaxillary osteotomies in patients with anterior open bite. Int J Oral Maxillofac Surg. 1998;27(2):81–91. doi: 10.1016/s0901-5027(98)80301-9
- Ow A, Cheung L. Skeletal stability and complications of bilateral sagittal split osteotomies and mandibular distraction osteogenesis: an evidence-based review. J Oral Maxillofac Surg. 2009;67(11): 2344–2353. doi: 10.1016/j.joms.2008.07.003
- Greenberg A, Schmelzeisen R. Craniomaxillofacial reconstructive and corrective bone surgery. ed. New York: Springer; 2019. doi: 10.1007/978-1-4939-1529-3
- Sander A, Martini M, Konermann A, et al. Freehand condyle-positioning during orthognathic surgery. J Craniofac Surg. 2015;26(5):1471–1476. doi: 10.1097/scs.0000000000001781
Supplementary files








